Et si nous commençions par parler de l’intelligence, qu’est-ce au juste ?
L’intelligence est une capacité propre aux êtres vivants qui leur permet de comprendre, d’apprendre, de résoudre des problèmes et de s’adapter à leur environnement. L’intelligence artificielle (IA) est une discipline de l’informatique qui vise à reproduire ces capacités chez les machines. Elle vise à développer des systèmes capables de raisonner, d’apprendre, de percevoir et d’interagir de manière autonome, similairement à un être humain.
L’IA peut être classée en plusieurs modèles, notamment l’IA informatique, l’IA biologique et l’IA hybride.
L’IA informatique repose sur des algorithmes et des techniques de traitement de données pour simuler l’intelligence humaine. Par exemple s’inspirer des processus et des structures du cerveau et du système nerveux pour créer des systèmes intelligents.
L’IA biologique s’inspire des organismes vivants et tente d’utiliser la nature pour créer une solution intelligente (cellule, organismes vivants, clonage)
L’IA hybride combine les deux approches.

30 dates importantes dans l’histoire de l’intelligence artificielle :
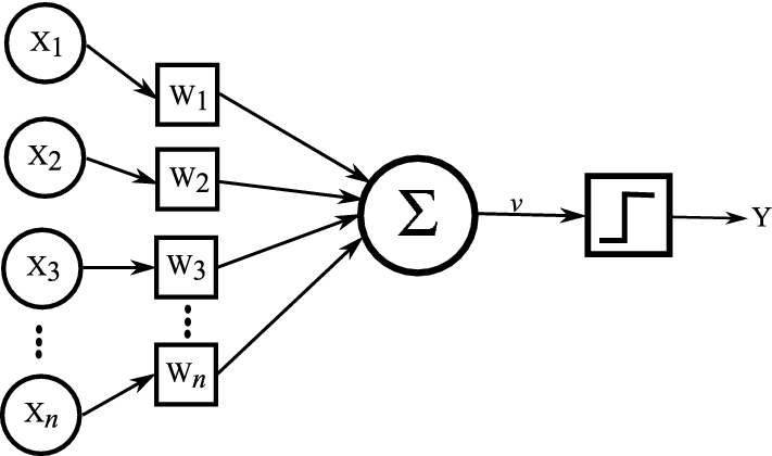
1. 1943 : Warren McCulloch et Walter Pitts proposent le modèle de neurones artificiels.

2. 1950 : Alan Turing propose le « Test de Turing » pour évaluer l’intelligence des machines.
3. 1956 : La conférence de Dartmouth marque le début officiel de l’IA en tant que domaine de recherche.
4. 1956 : John McCarthy invente le langage de programmation LISP, utilisé en IA.
6. 1965 : Joseph Weizenbaum crée ELIZA, un programme de traitement du langage naturel.
5. 1958 : Frank Rosenblatt développe le perceptron, un modèle de réseau de neurones artificiels.


7. 1969 : Shakey, le premier robot mobile autonome, est développé à l’Université Stanford.
8. 1973 : James Lighthill publie un rapport critiquant les progrès de l’IA et provoquant un « hiver de l’IA ».
9. 1980 : Les systèmes experts connaissent une popularité croissante dans les applications industrielles.

10. 1986 : Geoffrey Hinton et ses collègues introduisent le modèle de réseaux de neurones profonds.
11. 1986 Marvin Minsky sort le livre « The Society og Mind » (théorie des agents élémentaires autonomes et organisés)

1997 : Deep Blue, un superordinateur d’IBM, bat le champion du monde d’échecs Garry Kasparov.
12. 2000 : Le langage de programmation Python devient populaire pour le développement en IA.
13. 2006 : Andrew Ng et son équipe développent des modèles d’apprentissage profond pour la reconnaissance d’objets.

14. 2011 : IBM Watson remporte le jeu télévisé Jeopardy! en utilisant des techniques de traitement du langage naturel.
15. 2012 : L’IA atteint un jalon avec le (by Alex Krizhevsky) réseau neuronal convolutif d’AlexNet pour la vision par ordinateur.
16. 2014 : Google développe l’IA en rachetant DeepMind (Demis Hassabis, Mustafa Suleyman (en) et Shane Legg) qui bat les champions du monde au jeu de go.

17. 2016: Les chatbots alimentés par l’IA deviennent populaires pour les interactions humaines simulées.
18. 2017 : AlphaGo Zero, une version améliorée de l’IA de DeepMind, apprend à jouer au go sans aucune donnée humaine.
19. 2018 : OpenAI développe l’IA GPT (Generative Pre-trained Transformer) pour la génération de texte.
20. 2019 : Les véhicules autonomes commencent à être testés sur les routes publiques dans certains pays.
21. 2020 : L’IA est utilisée dans la recherche de médicaments et la modélisation de la propagation des maladies, notamment pendant la pandémie de COVID-19.
L’approche connexionniste versus l’approche symbolique
L’approche connexionniste, également appelée apprentissage profond, met l’accent sur les réseaux de neurones artificiels et l’apprentissage à partir de données. Des chercheurs tels que Geoffrey Hinton, Yann LeCun et Yoshua Bengio ont joué un rôle majeur dans le développement de cette approche. Elle est basée sur la simulation de l’apprentissage humain en utilisant des réseaux de neurones artificiels interconnectés.
L’approche symbolique, en revanche, repose sur la manipulation de symboles et de règles logiques pour simuler le raisonnement humain. Des chercheurs tels que Allen Newell, John McCarthy et Marvin Minsky ont été des figures clés de cette approche. Elle se concentre sur la création de systèmes basés sur des représentations symboliques et des règles de manipulation de ces symboles.
Les 20 principaux concepts et modèles en IA :
1. Systèmes experts – Allen Newell et Herbert A. Simon
2. Blackboard – Edward Feigenbaum
3. Agents intelligents – Rodney Brooks
4. Réseaux de neurones – Warren McCulloch et Walter Pitts
5. Apprentissage profond (Deep Learning) – Geoffrey Hinton, Yann LeCun, Yoshua Bengio
6. Apprentissage automatique (Machine Learning) – Arthur Samuel, Tom Mitchell
7. Traitement du langage naturel (NLP) – Karen Sparck Jones
8. Vision par ordinateur – David Marr
9. Robotique – Rodney Brooks, Cynthia Breazeal
10. Réseaux génératifs antagonistes (GAN) – Ian Goodfellow
11. IA générative – Jürgen Schmidhuber
12. Logique floue – Lotfi A. Zadeh
13. Systèmes multi-agents – Michael Wooldridge
14. IA évolutive – John R. Koza
15. Apprentissage par renforcement – Richard S. Sutton, Andrew Barto
16. Logique déductive – Alonzo Church
17. Systèmes de recommandation – Joseph Konstan, John Riedl
18. IA émotionnelle – Rosalind Picard
19. Raisonnement probabiliste – Judea Pearl
20. IA symbolique – Marvin Minsky, John McCarthy
10 concepts s’inspirant et utilisant des cellules vivantes, des molécules, de la biologie pour l’intelligence artificielle :
1. Calcul ADN – Leonard Adleman
2. Informatique bio-inspirée – John Holland
3. Réseaux neuronaux artificiels – Warren McCulloch et Walter Pitts
4. Algorithme génétique – John Holland
5. Réseaux neuronaux artificiels spiking – Carver Mead
6. Algorithme d’essaim de particules – Eberhart et Kennedy
7. Robotique bio-inspirée – Rodney Brooks
8. Nanorobotique – Eric Drexler
9. Biologie synthétique – Jay Keasling
10. Calcul quantique – Peter Shor
10 recherches et projets alliant l’IA informatique et les systèmes biologiques/vivants
1. BrainGate – Développement d’interfaces cerveau-ordinateur pour aider les personnes handicapées.
2. Human Brain Project – Recherche sur la modélisation du cerveau humain et les neurosciences computationnelles.
3. Blue Brain Project – Cartographie et simulation numérique du cerveau.
4. Optogénétique – Utilisation de techniques génétiques pour contrôler les neurones avec la lumière.
5. Exosquelettes robotiques – Développement d’exosquelettes pour augmenter les capacités physiques humaines.
6. Systèmes biohybrides – Combinaison de matériaux biologiques et artificiels pour créer des systèmes hybrides.
7. Biologie synthétique – Ingénierie de cellules vivantes pour créer des fonctionnalités spécifiques.
8. Pliage de protéines assisté par IA de DeepMind – Utilisation de l’IA pour prédire le repliement des protéines.
9. Optogénomique – Combinaison de l’optogénétique et de la génomique pour étudier les circuits neuronaux.
10. Robotique bio-inspirée – Conception de robots inspirés de la biologie pour une meilleure adaptabilité et résilience.
20 chercheurs qui ont marqué l’histoire de l’IA
1. Alan Turing – Pionnier de l’informatique et de l’IA, concepteur du “Test de Turing”.
2. John McCarthy – Inventeur du terme “intelligence artificielle” et co-fondateur du domaine.
3. Marvin Minsky – Figure clé de l’IA symbolique et des systèmes experts.
4. Herbert A. Simon – Contributeur majeur des systèmes experts et des modèles cognitifs.
5. Warren McCulloch et Walter Pitts – Pionniers des réseaux de neurones artificiels.
6. Joseph Weizenbaum – Créateur du programme de traitement du langage naturel ELIZA.
7. Rodney Brooks – Développeur de robots autonomes et de l’approche des agents intelligents.
8. Geoffrey Hinton, Yann LeCun, Yoshua Bengio – Leaders de l’apprentissage profond et des réseaux de neurones profonds.
9. Ray Kurzweil – Pionnier des systèmes de reconnaissance vocale et de l’intelligence artificielle générale.
10. Jürgen Schmidhuber – Contribuant majeur des réseaux neuronaux et de l’IA générative.
11. Judea Pearl – Expert en raisonnement probabiliste et causalité.
12. Cynthia Breazeal – Pionnière de la robotique sociale et des interactions homme-robot.
13. Fei-Fei Li – Recherche surla vision par ordinateur et l’IA éthique.
14. Andrew Ng – Expert en apprentissage automatique et co-fondateur de Coursera.
15. Demis Hassabis – Co-fondateur de DeepMind, spécialisé dans l’IA générale et les jeux.
16. Karen Sparck Jones – Contributions majeures dans le traitement du langage naturel.
17. Sebastian Thrun – Co-fondateur de Google X et pionnier de la conduite autonome.
18. Elon Musk – Entrepreneur visionnaire investissant dans l’IA et l’avenir technologique.
19. Ian Goodfellow – Inventeur des réseaux génératifs antagonistes (GAN).
20. Yoshua Bengio – Contributions majeures à l’apprentissage profond et aux réseaux de neurones.
20 leader actuellement dans le domaine de l’IA et leurs contributions respectives :
1. Ian Goodfellow – Inventeur des réseaux génératifs antagonistes (GAN).
2. Yoshua Bengio – Contributions majeures à l’apprentissage profond et aux réseaux de neurones.
3. Geoffrey Hinton – Pionnier de l’apprentissage profond et des réseaux de neurones.
4. Andrew Ng – Expert en apprentissage automatique, co-fondateur de Coursera.
5. Yann LeCun – Recherche sur les réseaux de neurones convolutionnels et le traitement du langage naturel.
6. Fei-Fei Li – Recherche sur la vision par ordinateur et l’IA éthique.
7. Demis Hassabis – Co-fondateur de DeepMind, spécialisé dans l’IA générale et les jeux.
8. MCynthia Breazeal – Pionnière de la robotique sociale et des interactions homme-robot.
9. Karen Sparck Jones – Contributions majeures dans le domaine du traitement du langage naturel.
10. Sebastian Thrun – Expert en intelligence artificielle et conduite autonome.
11. Elon Musk – Entrepreneur investissant dans l’IA avec des entreprises comme Neuralink et OpenAI.
12. Judea Pearl – Expert en raisonnement probabiliste et causalité.
13. Ray Kurzweil – Futuriste et expert en IA, spécialisé dans les technologies d’avenir.
14. Yoshua Bengio – Recherche sur les réseaux de neurones profonds et l’apprentissage profond.
15. Max Tegmark – Expert en IA et futuriste, axé sur les implications sociales de l’IA.
16. Ian Goodfellow – Inventeur des réseaux génératifs antagonistes (GAN).
17. Rana el Kaliouby – Pionnière de l’IA émotionnelle et des interactions homme-machine.
18. Pieter Abbeel – Expert en robotique et en apprentissage par renforcement.
19. Kate Crawford – Chercheuse en éthique de l’IA et en justice algorithmique.
20. Stuart Russell – Expert en IA, axé sur la sécurité et l’éthique de l’IA.
20 solutions logicielles d’IA, organisées par catégorie :
1. Systèmes experts :
• IBM Watson (IBM) – Plateforme d’IA qui utilise le raisonnement logique pour résoudre des problèmes complexes.
2. Réseaux de neurones :
• TensorFlow (Google) – Bibliothèque d’apprentissage automatique open-source basée sur les réseaux de neurones.
• PyTorch (Facebook) – Cadre de développement pour l’apprentissage en profondeur basé sur les réseaux de neurones.
3. Apprentissage automatique :
• scikit-learn – Bibliothèque d’apprentissage automatique open-source pour Python.
• Microsoft Azure ML – Plateforme cloud pour le développement et le déploiement de modèles d’apprentissage automatique.
4. Traitement du langage naturel :
• Natural Language Toolkit (NLTK) – Bibliothèque de traitement du langage naturel open-source pour Python.
• SpaCy – Bibliothèque Python pour le traitement avancé du langage naturel et la reconnaissance d’entités nommées.
5. Vision par ordinateur :
• OpenCV – Bibliothèque open-source pour le traitement d’images et la vision par ordinateur.
• TensorFlow Object Detection API (Google) – Outil d’apprentissage automatique pour la détection d’objets dans les images.
6. Robotique :
• ROS (Robot Operating System) – Plateforme open-source pour le développement de robots et de systèmes robotiques.
• Robot Framework – Cadre de test open-source pour le développement et l’automatisation des tests de robotique.
7. IA générative :
• DeepArt (DeepArt.io) – Outil en ligne utilisant l’IA pour générer des œuvres d’art à partir de photos.
• StyleGAN (NVIDIA) – Modèle d’IA générative pour la création d’images réalistes et de vidéos.
8. Analyse de données :
• Tableau Software – Plateforme d’analyse et de visualisation de données basée sur l’IA.
• Splunk – Plateforme d’analyse de données en temps réel avec des fonctionnalités d’IA et de machine learning.
9. IA dans la santé :
• IBM Watson Health – Plateforme d’IA pour l’analyse de données médicales et l’aide à la prise de décision clinique.
• Butterfly iQ – Système d’échographie portable utilisant l’IA pour améliorer la visualisation et l’interprétation des images.
10. IA dans la finance :
• Quantopian – Plateforme d’investissement basée sur l’IA et l’apprentissage automatique.
• Alpaca – Plateforme de trading basée sur l’IA avec des outils d’automatisation et d’analyse de données.
6 projets insolites autour de l’IA et de la biologie/solutions hybrides :
1. Brain-Computer Interfaces (BCI) : Utilisation de l’IA pour permettre aux personnes de contrôler des prothèses ou des dispositifs électroniques directement par la pensée.
2. Biofabrication d’organes : Utilisation de l’IA pour modéliser et imprimer en 3D des organes vivants en utilisant des cellules et des biomatériaux.
3. Systèmes de traduction de langage animal : Utilisation de l’IA pour comprendre et traduire les vocalisations et les signaux des animaux.
4. Hybrid Swarm Systems : Combinaison de robots autonomes et d’animaux vivants pour réaliser des tâches complexes en utilisant l’intelligence collective.
5. Biologically-Inspired Neural Networks : Création de réseaux de neurones artificiels basés sur les structures et les fonctions des neurones biologiques.
6. Nanobots médicaux : Utilisation de nanorobots pour délivrer des médicaments de manière ciblée et effectuer des interventions chirurgicales minimales.
L’impact de l’IA dans les 20 prochaines années :
L’IA aura un impact significatif dans de nombreux domaines au cours des prochaines années, j’ai essayé de prendre quelques exemples :
1. Enjeux généraux : L’IA soulève des enjeux éthiques, de confidentialité et de responsabilité en raison de son autonomie et de sa capacité à prendre des décisions sans intervention humaine directe.
2. Éducation : L’IA peut être utilisée pour personnaliser l’apprentissage, fournir des ressources éducatives adaptées et aider les enseignants dans l’évaluation des élèves.
3. Industrie : L’IA automatisera les processus de fabrication, améliorera la qualité et l’efficacité des opérations et facilitera la maintenance prédictive.
4. Banque : L’IA permettra une analyse et une gestion des risques plus précises, une détection des fraudes améliorée et des services bancaires plus personnalisés.
5. Digital : L’IA sera au cœur de l’expérience utilisateur, offrant des assistants virtuels, des recommandations personnalisées et des interfaces homme-machine plus naturelles.
6. Metaverse : L’IA jouera un rôle crucial dans la création d’environnements virtuels interactifs et immersifs, alimentant des expériences de réalité augmentée et virtuelle.
7. Vie quotidienne : L’IA sera omniprésente, avec des assistants intelligents intégrés dans les appareils domestiques, les voitures, les services de livraison, etc.
8. Marketing : L’IA permettra une segmentation et une personnalisation précises du marketing, améliorant ainsi l’expérience client et l’efficacité des campagnes publicitaires.
Conclusion :
1. Les biais des solutions d’IA peuvent provenir de préjugés intégrés dans les données d’entraînement. Pour les éviter, il est important d’avoir des ensembles de données diversifiés et représentatifs, ainsi que de procéder à une évaluation régulière et à une correction des modèles.
2. La question de la peur de l’IA est complexe. Bien qu’il y ait des préoccupations légitimes, une utilisation responsable, une réglementation appropriée et une sensibilisation peuvent atténuer les risques et permettre des bénéfices significatifs.
3. L’IA peut aider l’homme en augmentant ses capacités, en automatisant les tâches répétitives et dangereuses, en améliorant les soins de santé et en offrant des solutions innovantes dans divers domaines.
4. L’IA peut contribuer à résoudre des problèmes environnementaux en améliorant la modélisation et la gestion des ressources naturelles, en aidant à la recherche de solutions durables et en optimisant les processus industriels pour réduire l’impact sur l’environnement.
5. L’IA peut s’inspirer de la nature pour créer des modèles intelligents et des systèmes plus résilients, en utilisant des concepts biologiques et des principes de fonctionnement pour résoudre des problèmes complexes.
6. L’IA a le potentiel de contribuer à un monde meilleur en favorisant l’égalité des chances, en ayant un impact positif sur la société, en encourageant la responsabilité et en soutenant des pratiques respectueuses de l’environnement.
Cependant, il est essentiel de faire preuve de vigilance et d’évaluer constamment les implications sociales, éthiques et environnementales de l’IA afin de garantir un déploiement responsable et bénéfique pour l’humanité.

Laisser un commentaire